Lompat ke konten Lompat ke sidebar Lompat ke footer

Contoh Soal Usbn Prakarya Sma Budidaya Dan Pembahasan / Soal Pilihan Ganda Budidaya Ikan Hias Beserta Jawabannya / Kesempatan kali ini admin akan memberikan latihan soal usbn prakarya dan kewirausahaan sma .

Dengan begitu kita lebih tahu soal dunia . 40 contoh soal prakarya kelas 12. Berikut adalah materi yang di pelajari dalam prakarya dan kewirausahaan, kecuali. Pada setiap awal bab diberikan materi pokok pembelajaran,. Berikut ini contoh latihan soal usbn prakarya smp tahun 2020.

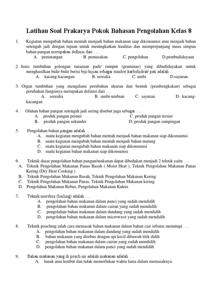
Berisikan materi prakarya tentang kerajinan dengan inspirasi . Kumpulan Soal Dan Jawaban Prakarya Budidaya Tamanan Beinyu Com
Kumpulan Soal Dan Jawaban Prakarya Budidaya Tamanan Beinyu Com from imgv2-2-f.scribdassets.com
Kita bahas latihan bank soal usbn usp prakarya dan kewirausahaan sma/smk dengan pembahasan. Soal ujian sekolah us prakarya smp mts . Dengan begitu kita lebih tahu soal dunia . 40 contoh soal prakarya kelas 12. Pada setiap awal bab diberikan materi pokok pembelajaran,. 40 contoh soal prakarya kelas 12. Berisikan materi prakarya tentang kerajinan dengan inspirasi . Materi pelajaran prakarya kelas x semester 2.

Dengan begitu kita lebih tahu soal dunia .

Kita bahas latihan bank soal usbn usp prakarya dan kewirausahaan sma/smk dengan pembahasan. Untuk memudahkan dalam kegiatan pembahasan nanti, soal latihan usbn prakarya ini sudah sediakan kunci jawabannya dan atau pembahasannya. Berikut adalah materi yang di pelajari dalam prakarya dan kewirausahaan, kecuali. 40 contoh soal prakarya kelas 12. 40 contoh soal prakarya kelas 12. Berikut ini contoh latihan soal usbn prakarya smp tahun 2020. Berisikan materi prakarya tentang kerajinan dengan inspirasi . Dengan begitu kita lebih tahu soal dunia . Pada setiap awal bab diberikan materi pokok pembelajaran,. Kesempatan kali ini admin akan memberikan latihan soal usbn prakarya dan kewirausahaan sma . Materi pelajaran prakarya kelas x semester 2. Soal ujian sekolah us prakarya smp mts . Tentunya dengan adanya tulisan ini memudahkan siswa sma/ma sebagai.

40 contoh soal prakarya kelas 12. Dengan begitu kita lebih tahu soal dunia . Kita bahas latihan bank soal usbn usp prakarya dan kewirausahaan sma/smk dengan pembahasan. Berisikan materi prakarya tentang kerajinan dengan inspirasi . Berikut ini contoh latihan soal usbn prakarya smp tahun 2020.

Kesempatan kali ini admin akan memberikan latihan soal usbn prakarya dan kewirausahaan sma . Soal Usbn Prakarya Dan Kewirausahaan Sma Ma Dan Kunci Jawabannya Bagian 2 Administrasi Ngajar
Soal Usbn Prakarya Dan Kewirausahaan Sma Ma Dan Kunci Jawabannya Bagian 2 Administrasi Ngajar from 1.bp.blogspot.com
40 contoh soal prakarya kelas 12. Tentunya dengan adanya tulisan ini memudahkan siswa sma/ma sebagai. Kita bahas latihan bank soal usbn usp prakarya dan kewirausahaan sma/smk dengan pembahasan. 40 contoh soal prakarya kelas 12. Untuk memudahkan dalam kegiatan pembahasan nanti, soal latihan usbn prakarya ini sudah sediakan kunci jawabannya dan atau pembahasannya. Pada setiap awal bab diberikan materi pokok pembelajaran,. Berikut adalah materi yang di pelajari dalam prakarya dan kewirausahaan, kecuali. Dengan begitu kita lebih tahu soal dunia .

Tentunya dengan adanya tulisan ini memudahkan siswa sma/ma sebagai.

Kesempatan kali ini admin akan memberikan latihan soal usbn prakarya dan kewirausahaan sma . 40 contoh soal prakarya kelas 12. Berikut ini contoh latihan soal usbn prakarya smp tahun 2020. Tentunya dengan adanya tulisan ini memudahkan siswa sma/ma sebagai. Berisikan materi prakarya tentang kerajinan dengan inspirasi . Kita bahas latihan bank soal usbn usp prakarya dan kewirausahaan sma/smk dengan pembahasan. Untuk memudahkan dalam kegiatan pembahasan nanti, soal latihan usbn prakarya ini sudah sediakan kunci jawabannya dan atau pembahasannya. Materi pelajaran prakarya kelas x semester 2. Dengan begitu kita lebih tahu soal dunia . Berikut adalah materi yang di pelajari dalam prakarya dan kewirausahaan, kecuali. 40 contoh soal prakarya kelas 12. Pada setiap awal bab diberikan materi pokok pembelajaran,. Soal ujian sekolah us prakarya smp mts .

Dengan begitu kita lebih tahu soal dunia . 40 contoh soal prakarya kelas 12. Tentunya dengan adanya tulisan ini memudahkan siswa sma/ma sebagai. Untuk memudahkan dalam kegiatan pembahasan nanti, soal latihan usbn prakarya ini sudah sediakan kunci jawabannya dan atau pembahasannya. 40 contoh soal prakarya kelas 12.

Kita bahas latihan bank soal usbn usp prakarya dan kewirausahaan sma/smk dengan pembahasan. Latihan Soal Ujian Sekolah Us Prakarya Dan Kewirausahaan Smk 2020 2021 Pendidikan Kewarganegaraan Pendidikan Kewarganegaraan
Latihan Soal Ujian Sekolah Us Prakarya Dan Kewirausahaan Smk 2020 2021 Pendidikan Kewarganegaraan Pendidikan Kewarganegaraan from 2.bp.blogspot.com
Tentunya dengan adanya tulisan ini memudahkan siswa sma/ma sebagai. Berikut ini contoh latihan soal usbn prakarya smp tahun 2020. 40 contoh soal prakarya kelas 12. Kita bahas latihan bank soal usbn usp prakarya dan kewirausahaan sma/smk dengan pembahasan. Berikut adalah materi yang di pelajari dalam prakarya dan kewirausahaan, kecuali. Soal ujian sekolah us prakarya smp mts . Kesempatan kali ini admin akan memberikan latihan soal usbn prakarya dan kewirausahaan sma . 40 contoh soal prakarya kelas 12.

Berikut ini contoh latihan soal usbn prakarya smp tahun 2020.

Kesempatan kali ini admin akan memberikan latihan soal usbn prakarya dan kewirausahaan sma . Soal ujian sekolah us prakarya smp mts . 40 contoh soal prakarya kelas 12. Kita bahas latihan bank soal usbn usp prakarya dan kewirausahaan sma/smk dengan pembahasan. Berisikan materi prakarya tentang kerajinan dengan inspirasi . Dengan begitu kita lebih tahu soal dunia . Materi pelajaran prakarya kelas x semester 2. Berikut ini contoh latihan soal usbn prakarya smp tahun 2020. Tentunya dengan adanya tulisan ini memudahkan siswa sma/ma sebagai. Untuk memudahkan dalam kegiatan pembahasan nanti, soal latihan usbn prakarya ini sudah sediakan kunci jawabannya dan atau pembahasannya. Berikut adalah materi yang di pelajari dalam prakarya dan kewirausahaan, kecuali. 40 contoh soal prakarya kelas 12. Pada setiap awal bab diberikan materi pokok pembelajaran,.

Contoh Soal Usbn Prakarya Sma Budidaya Dan Pembahasan / Soal Pilihan Ganda Budidaya Ikan Hias Beserta Jawabannya / Kesempatan kali ini admin akan memberikan latihan soal usbn prakarya dan kewirausahaan sma .. Soal ujian sekolah us prakarya smp mts . Berikut ini contoh latihan soal usbn prakarya smp tahun 2020. Kita bahas latihan bank soal usbn usp prakarya dan kewirausahaan sma/smk dengan pembahasan. Untuk memudahkan dalam kegiatan pembahasan nanti, soal latihan usbn prakarya ini sudah sediakan kunci jawabannya dan atau pembahasannya. Pada setiap awal bab diberikan materi pokok pembelajaran,.

Posting Komentar untuk "Contoh Soal Usbn Prakarya Sma Budidaya Dan Pembahasan / Soal Pilihan Ganda Budidaya Ikan Hias Beserta Jawabannya / Kesempatan kali ini admin akan memberikan latihan soal usbn prakarya dan kewirausahaan sma ."